What are you looking for?
Search
The Dual Action of AOD 9604: Antioxidant and Metabolic Support
ALL ARTICLES AND PRODUCT INFORMATION PROVIDED ON THIS WEBSITE ARE SOLELY FOR INFORMATION DISSEMINATION AND EDUCATIONAL PURPOSES.
The products provided on this website are intended exclusively for in vitro research. In vitro research (Latin: *in glass*, meaning in glassware) is conducted outside the human body. These products are not pharmaceuticals, have not been approved by the U.S. Food and Drug Administration (FDA), and must not be used to prevent, treat, or cure any medical condition, disease, or ailment. It is strictly prohibited by law to introduce these products into the human or animal body in any form.
Obesity and its associated metabolic disorders have become a global public health issue, making the search for safe and effective interventions critical. While human growth hormone (hGH) shows potential for treating obesity, safety concerns limit its long-term use. AOD9604, a peptide fragment from the C-terminal region of hGH (Tyr-hGH177-191), has been found to possess hGH's fat-reducing activity without its adverse effects. Recent studies have expanded on its functions, with antioxidant and metabolic support effects emerging as key research areas.


Figure 1 Obesity prevalence in US adults (20–74 years).
1. The antioxidant effects of AOD9604
The association between oxidative stress and disease
Oxidative stress refers to the condition where, under various harmful stimuli, the body produces excessive amounts of reactive oxygen species (ROS) and reactive nitrogen species (RNS), leading to oxidative damage exceeding the body's ability to clear these species. This imbalance between oxidative and antioxidant systems results in tissue damage. Numerous diseases, including cardiovascular disease, diabetes, neurodegenerative diseases, and non-alcoholic fatty liver disease (NAFLD), are closely associated with oxidative stress. In these disease states, elevated intracellular ROS levels attack biomolecules such as lipids, proteins, and DNA, leading to cellular dysfunction and death.
AOD9604 Antioxidant Mechanism of Action
AOD9604 exerts its effects by regulating the intracellular antioxidant enzyme system. Superoxide dismutase (SOD), glutathione peroxidase (GPx), and catalase (CAT) are important intracellular antioxidant enzymes that can scavenge ROS and maintain intracellular redox balance. AOD9604 may upregulate the expression or activity of these antioxidant enzymes, thereby enhancing cellular antioxidant defense capabilities. On the other hand, AOD9604 may directly participate in the scavenging of free radicals. Certain groups in its molecular structure may possess the ability to capture ROS and RNS, thereby reducing their damage to cells.
In a study using a mouse model of non-alcoholic fatty liver disease, treatment with AOD9604 resulted in a significant reduction in malondialdehyde (MDA) levels in liver tissue. MDA is a product of lipid peroxidation, and its reduced levels indicate a decrease in oxidative stress. The activity of SOD and GPx in the liver increased, suggesting that AOD9604 may alleviate oxidative stress damage by enhancing the activity of antioxidant enzymes. This indicates that AOD9604 has a positive effect on improving the oxidative stress state of the liver, providing experimental evidence for its application in the treatment of related diseases.
2. Metabolic Support Effects of AOD9604
Effects on Lipid Metabolism
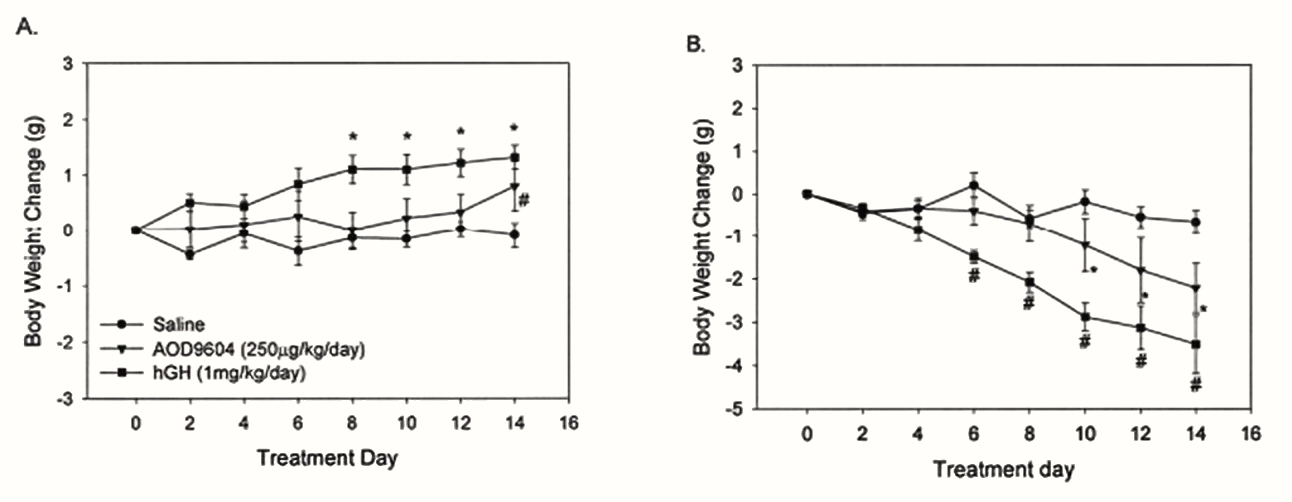
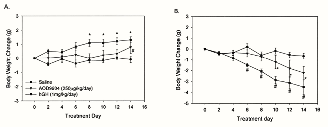
AOD9604 exhibits a significant regulatory effect on lipid metabolism. In an obese mouse model, long-term intraperitoneal injection of AOD9604 led to reduced body weight and body fat. This effect may be associated with the β-adrenergic pathway, particularly the β(3)-adrenergic receptor (β(3)-AR), the primary lipolytic receptor in adipocytes. After 14 days of AOD9604 administration in obese mice, the expression level of β(3)-AR RNA increased, restoring the suppressed β(3)-AR RNA levels in obese mice to levels comparable to those in lean mice, thereby promoting lipolysis and enhancing lipolytic sensitivity. In β(3)-AR knockout mice, long-term use of AOD9604 failed to produce the same weight changes and lipolysis-enhancing effects as in wild-type control mice, indicating that β(3)-AR plays a crucial role in AOD9604's regulation of lipid metabolism. In acute experiments, AOD9604 still increased energy expenditure and fat oxidation in β(3)-AR gene knockout mice, suggesting that AOD9604 may also influence lipid metabolism through other pathways.


Figure 2 The effect of a single daily intraperitoneal (ip) dose of saline, AOD9604, or human growth hormone (hGH) on body weight changes in lean male C57BL/6J (A) or obese (ob/ob) mice (B) over 14 days.
Effects on carbohydrate metabolism
In terms of carbohydrate metabolism, AOD9604 differs significantly from hGH. Clinical trials indicate that AOD9604 has no effect on serum IGF-1 levels, confirming the hypothesis that it does not act through IGF-1. Results from an oral glucose tolerance test showed that, unlike hGH, AOD9604 does not negatively impact carbohydrate metabolism. This means that AOD9604 can regulate lipid metabolism without interfering with normal carbohydrate metabolism, offering a unique advantage in improving metabolic status.
Effects on liver metabolism
In studies on mice with non-alcoholic fatty liver disease, AOD9604 not only affects lipid metabolism but also regulates the overall metabolic state of the liver. In addition to reducing oxidative stress, AOD9604 may improve hepatic steatosis by regulating the expression of genes related to lipid synthesis, transport, and metabolism in the liver. It can influence the expression of key enzymes such as fatty acid synthase (FAS) and acetyl-CoA carboxylase (ACC), reducing fatty acid synthesis in the liver, promoting fatty acid β-oxidation, and thereby alleviating hepatic fat accumulation.
3. Potential Applications of AOD9604's Dual Action
Applications in Obesity and Related Metabolic Diseases
Given AOD9604's antioxidant and metabolic support effects, it holds potential application value in the treatment of obesity and related metabolic diseases such as type 2 diabetes and non-alcoholic fatty liver disease. For obese patients, AOD9604 can promote lipid metabolism, reduce body fat, and improve insulin sensitivity, thereby aiding in blood glucose control. For patients with non-alcoholic fatty liver disease, it can both alleviate liver oxidative stress damage and regulate liver lipid metabolism, potentially serving as a new strategy to improve liver function and slow disease progression.
Applications in Sports Nutrition
In the field of sports nutrition, AOD9604's antioxidant and metabolic support properties are also attractive. During high-intensity training, athletes produce large amounts of ROS, leading to oxidative stress damage, while energy metabolism demands increase. AOD9604 can help clear ROS, reduce muscle fatigue and damage, while promoting fat oxidation for energy, thereby enhancing exercise endurance and recovery capacity. Although AOD9604 demonstrates excellent antioxidant and metabolic support effects, its safety is of utmost importance. Multiple studies have evaluated the safety of AOD9604. In six randomized, double-blind, placebo-controlled trials, AOD9604 had no effect on serum IGF-1 levels, no negative impact on carbohydrate metabolism, and no anti-AOD9604 antibodies were detected. No withdrawal symptoms or severe adverse events related to AOD9604 intake were reported. In chronic toxicology studies in rats and cynomolgus monkeys, long-term oral administration of AOD9604 also demonstrated its general safety, with no signs of genotoxicity.


Figure 3 In vitro degradation of AOD9604 in rat plasma at room temperature. After 56 minutes, the peptide is completely eliminated. The half-life is approximately 4 minutes. The appearance of AOD9604 amino-terminal truncated fragments (-xaa) is demonstrated.
4. Conclusion
AOD9604, as a peptide fragment with unique dual actions, aids in antioxidant and metabolic support. Its antioxidant action helps mitigate tissue damage associated with oxidative stress, while its metabolic support action positively regulates lipid, carbohydrate, and liver metabolism. This makes it significant in the treatment of obesity and related metabolic diseases, as well as in sports nutrition.
Sources
[1] Dehbashi M, Fathie M, Hosseini S R A, et al. اثر هشت هفته تمرین استقامتی و تزریق قطعه لیپولیتیک هورمون رشد (AOD9604) بر آنزیمهای کبد و CK18 موشهای سوری القاء شده به کبد چرب غیرالکلی ناشی از رژیم غذایی پر چرب, 2021[C]. https://api.semanticscholar.org/CorpusID:236556287
[2] E M I M, Kenley D L. Safety and Metabolism of AOD9604, a Novel Nutraceutical Ingredient for Improved Metabolic Health[J]. Journal of Endocrinology and Metabolism, 2014,4:64-77. https://api.semanticscholar.org/CorpusID:67761634
[3] Stier H, Vos E, Kenley D L. Safety and Tolerability of the Hexadecapeptide AOD9604 in Humans[J]. Journal of Endocrinology and Metabolism, 2013,3:7-15. https://api.semanticscholar.org/CorpusID:56559133
[4] Melnikova I, Wages D. Anti-obesity therapies[J]. Nature Reviews Drug Discovery, 2006,5(5):369-370.DOI:10.1038/nrd2037.
[5] Heffernan M, Summers R J, Thorburn A, et al. The effects of human GH and its lipolytic fragment (AOD9604) on lipid metabolism following chronic treatment in obese mice and beta(3)-AR knock-out mice[J]. Endocrinology, 2001,142(12):5182-5189.DOI:10.1210/endo.142.12.8522.
Product available for research use only:

